中国大五人格问卷简式版(CBF–PI–B)
概述
在过去的半个多世纪里,大五人格模型(外向性,神经质,严谨性,开放性,宜人性)得到了广泛的研究并被证明具有跨语言、跨文化和跨评定者的稳定性,并在维度层面上得到了人格心理学家的普遍接受[1]。
近些年来,随着大五人格理论的完善以及相应人格测验的成熟,越来越多的研究者采用大五人格测验来评估个体的人格特征。据John等[1]的统计,传统人格测验(16PF、EPI和EPQ)的使用在1995年之前尚保持稳定的比例,但随着大五人格问卷的广泛应用其使用比例日益缩小,2000年之后,大五问卷的使用量已占绝对优势。在最近的五年中(2005~2009年),大五人格问卷的使用量大约是传统问卷使用量的7倍,这说明大五人格问卷和/或大五人格模型已被越来越多的研究者所接受和使用。
在国内,虽然NEO-PI-R已由戴晓阳及其同事[2]修订并开展了一些研究,但是NEO-PI-R中文版仍存在一些不足,同时由于版权等原因该问卷一直未能在国内研究和实践中推广。为了弥补这些不足,王孟成和戴晓阳等编制了一份适合中国人语言表达习惯、信效度良好、有自己知识产权的人格问卷——《中国大五人格问卷》(The Chinese Big Five Personality Inventory, CBF-PI)。该问卷包含134个条目,测量22个侧面特质,在大学生群体具有优良的心理测量学特性[3,4]。
然而在实际应用中,有些研究的目的不是为了对人格特质进行详尽的分析,由于完整版的量表在具体施测过程中需要较长的时间,因此在某些特殊的场合或对于某些特殊群体不太适合。为此,王孟成和戴晓阳等在CBF-PI的基础上,挑选合适的条目组成一个用于测量大五维度的中国大五人格问卷简式版(Chinese Big Five Personality Inventory brief version, CBF–PI–B)[5],以适应这些研究者的需要。
量表的内容及实施方法
中国大五人格问卷简式版(CBF–PI–B)包含40个题目,每个维度分别有8个。各维度条目选择时平衡了统计指标与条目内容,因此这8个条目能够很好的涵盖完整版问卷的概念范围[5]。
问卷采用6级计分:1=完全不符合,2=大部分不符合,3=有点不符合,4=有点符合,5=大部分符合,6=完全符合。
表1 CBF–PI–B所测量的人格特征及对应条目

其中反向计分的条目有7个,具体是:5、8、13、15、18、32和36。
计分方法:首先将反向题目反向计分,然后将各维度题目相加得到各维度分。
测量学指标
中国大五人格问卷简式版最先在大学生群体中验证了信效度指标。广东、江西和福建6所高校的1221名在校大学生参加了测试,其中男生454 人、女754人(13人没有报告性别)。随后,夏结等人[6]和樊洁等人[7]分别在护士群体(n=356)和乳腺癌患者(n=529,同时还包含141名健康对照组)中检验了其心理测量学特性。
因子结构:40个条目中有35个(87.5%)条目的共同度在0.3以上,有5个条目的共同度接近0.3。因素负荷没有明显跨负荷的条目出现,五个因子可解释总体方差的43.49%,每个因子解释方差比例基本相同,在8%–9%之间。
夏结等人[6]采用验证性因素分析(极大似然估计)在护士群体中得到的拟合指标分别为:χ2 /df = 2.728、GFI = 0.878、AGFI = 0.849、CFI = 0. 853、IFI = 0.844、TLI =0.802、RMSEA = 0.064。樊洁等人[7]在乳腺癌患者中得到的拟合指标分别为:χ2/df=5.778,RMSEA=0.095,CFI=0.924,NFI=0.910,TLI=0.905。
区分与聚合效度:简式版量表各因子与完整版量表对应因子的相关系数均在0.85以上,最小0.886(神经质),最大0.922(宜人性),与完整版量表非对应因子的相关除O–b和E相关系数在中等以上水平之外,其他相关系数均在0.4以下。简版量表各因子间除开放性和外向性间达到中等水平的显著相关外,其他因子间的相关均较低。
CBF–PI–B各因子与NEO–PI–R对应因子间的相关为:宜人性0.358,外向性0.761,开放性0.660,神经质0.736和严谨性0.846,均达到统计学显著水平。
表2 CBF–PI–B与完整版因子间相关系数矩阵

注:E-b,C-b,O-b,A-b,N-b表示简式版各维度的简称;除a无显著相关外,其它系数均在0.01的水平上显著。
CBF–PI–B与BFI (Big Five Inventory)对应因子间的相关系数均在中等及较高水平,分别为:开放性0.80,外向性0.66,宜人性0.58,严谨性0.82和神经质0.83,在0.01的水平上显著。
在胰腺癌患者群体,神经质因子与贝克焦虑量表和流调中心用抑郁量表的相关系数分别为:0.52和0.50,p<0.01[7]。在护士群体,神经质因子与抑郁焦虑压力中文精简版三个因子间的相关分别为:抑郁分量表0.53,焦虑分量,0.524,压力分量表0.593。上述效标测量与其它四个因子间的相关系数(绝对值)多在0.1至0.2之间[6]。
信度指标:表3的结果呈现了CBF–PI–B各因子在不同群体中的信度信息。总得来说,CBF–PI–B的Alpha系数和重测系数均比较理想。
表3 CBF–PI–B描述性统计与信度系数

注:a=重测间隔1个月左右,n=54;b=间隔2周,n=50;c=间隔8周,n=35。
结果分析与应用情况
目前,CBF–PI–B在成人群体的心理测量学特性均比较理想,在青少年群体和其他特殊群体的心理测量学结果还有待进一步检验。
(王孟成、戴晓阳)
主要参考文献
1. John OP, Naumann LR, Soto CJ. Paradigm Shift to the Integrative Big Five Trait Taxonomy: History, Measurement, and Conceptual Issues. In John OP, Robins RW, Pervin LA (Eds), Handbook of Personality: Theory and Research(3th). New York: The Guilford Press, 2008:114-158
2. 戴晓阳,姚树桥,蔡太生,杨坚. NEO个性问卷修订本在中国的应用研究.中国心理卫生杂志, 2004,18:170-174
3. 王孟成,戴晓阳,姚树桥. 中国大五人格问卷的初步编制Ⅰ:理论框架与信度分析. 中国临床心理学杂志, 2010, 18: 545-548
4. 王孟成, 戴晓阳, 姚树桥. 中国大五人格问卷的初步编制Ⅱ: 效度分析. 中国临床心理学杂志, 2011,19: 687-690.
5. 王孟成, 戴晓阳, 姚树桥. 中国大五人格问卷的初步编制Ⅲ: 简式版的制定及信效度检验. 中国临床心理学杂志, 2011, 19: 454-457.
6. 夏结, 吴大兴, 钟雪等. 中国大五人格问卷-简版在护士群体应用中的信效度. 中国健康心理学杂志, 2013, 21: 1684-1687.
7. 樊洁, 朱熊兆, 唐利立等. 中国大五人格问卷简式版在乳腺癌患者中的应用. 中国临床心理学杂志, 2013, 21: 783-785.
附:中国大五人格问卷简版
(王孟成、戴晓阳编制)
指导语:下面是一些描述人们性格特点的句子,请根据每个句子与您的性格相符程度在相应的数字上画圈。
例如:“在集体活动中,我是个活跃分子”非常恰当的描述您,那么请您在“6=完全同意”上画圈,依此类推。每个人的性格各不相同,所以答案没有对错之分,请根据您的实际情况作答。
_Sheet1(1).png)
注:标“*”号为反向计分题。
中国大五人格问卷极简版(CBF-PI-15)
一、 概述
大五人格问卷是基于词汇学研究而来的,用以研究个体差异性 (Goldberg, 1993; John, Naumann, & Soto, 2008)。随着研究的不断深入,人格研究者在人格结构上逐渐达成一致。大五人格结构模型包括:外倾性(extraversion),宜人性(agreeableness),尽责性(conscientiousness),神经质/情绪稳定性(neuroticism/ emotional stability)和开放性(openness /intellect) (John, Naumann & Soto, 2008; John & Srivastava, 1999),并被证明具有跨语言、跨评定者和跨文化的稳定性。
王孟成等(2010a; 2010b)根据以人格结构大五模型为理论框架,编制一份适合中国人语言表达习惯的、信效度良好、有自己知识产权的人格问卷——《中国大五人格问卷》(CBF-PI)和中国大五人格问卷简式版(CBF-PI-B, 2011)。《中国大五人格问卷》共包含134个条目、 22 个侧面特质;具有较好的内部一致性信度和重测信度,在维度层面上的内部一致性 alpha 系数在0.83(宜人性)到 0.91(尽责性)之间,平均0.878;间隔 10 周的重测系数在维度层面上均达到了0.8 左右的相关,最小 0.78(外向性),最大 0.86(尽责性);在效标关联效度方面,《中国大五人格问卷》 与 NEO-PI-R 中文版在五个对应维度间的相关系数在 0.45(宜人性)至 0.62(外向性)之间,特质因子间的相关多在 0.4 左右,均达到统计学显著水平。
《中国大五人格问卷简式版》含有 40 个条目,每个维度分别由 8 个条目测量;各维度具有较好的信度系数,内部一致性系数在 0.764(宜人性)~ 0.814(神经质)之间,平均 0.793;间隔 10 周的重测系数在 0.672(宜人性)~0.811(开放性)之间,平均 0.742;简式版五因子结构较为清晰共可解释总方差变异的 43.49%,各因子与完整版量表对应因子的相关均在 0.85 以上;各因子与 NEO-PI-R 对应因子间的相关在 0.358(宜人性)到 0.846(尽责性)之间;各因子与 BFI 对应因子间的相关在 0.584(宜人性)到 0.826(神经质)之间,相关系数均在 0.01 水平上显著。CBF-PI和CBF-PI-B在国内得到较为广泛的应用(e.g., 樊洁, 朱熊兆, 唐利立, 王瑜萍, 李玲艳, & 杨玉玲等, 2013; 夏结, 吴大兴, 钟雪, & 聂雪晴, 2013)。
尽管CBF-PI-B只有40个题目,但当研究只是把测量大五人格作为一个变量时,40个题目仍然较多。为此,我们通过一系列程序从CBF-PI-B中挑选了部分条目(15个)编制一个具有合理结构和可接受心理测量特性的极简版中国大五人格问卷(CBF-PI-15)。
二、量表的内容及实施方法
CBF-PI-15量表采用李克特六点计分,1代表完全不符合,2代表大部分不符合,3代表有点不符合,4代表有点符合,5代表大部分符合,6代表完全符合,其中,第2和第5题反向计分。7,11,12属于神经质维度;6,8,15属于尽责性维度;1,9,13属于宜人性维度;3,4,10属于开放性维度;2,5,14属于外向性维度。
三、测量学指标
本文报告的结果基于如下两个样本。样本一数据来自网络调查,共有1,0738名参与者(62.4%名男性),年龄在17-57岁之间,平均年龄33.90岁,标准差9.39岁。样本二来自广州大学256名在读学生,其中32.0%名男性,年龄在18-35岁之间,平均年龄21.26岁,标准差3.06岁。
信度:样本一和样本二中CBF-PI-B与CBF-PI-15的内部一致性α系数如表1所示。
表1 描述性统计

结构效度:样本一随机分为被试数目等同的样本A与样本B,每一样本包括5,369名参与者。采用样本A,对CBF-PI-B进行探索性因素分析(exploratory factor analysis, EFA),选取每一维度中因子负荷(factor loading)最高的三个题目组成CBF-PI-15。采用样本B,对CBF-PI-15进行验证性因素分析(confirmatory factor analysis, CFA),结果各项拟合指标良好:MLRχ2 = 918.882, df = 80, CFI = .946, TLI = .929, RMSEA(90% CI) = .044[.042, .047] and SRMR = .040。EFA和CFA均采用MPLUS 7.4稳健似然估计。
测量等值(measurement invariance, MI):对样本一进行性别分组(男性6,698;女性4,040)、年龄分组(17-20岁611;21-24岁1,095;25-29岁2,296;30-39岁3,772;40岁以上2,964),测量等值分析包括形态不变性、弱不变性、强不变性和误差方差不变性四种水平,本研究中各组ΔCFI和ΔTLI均≤0.01,结果支持跨性别和年龄段等值。
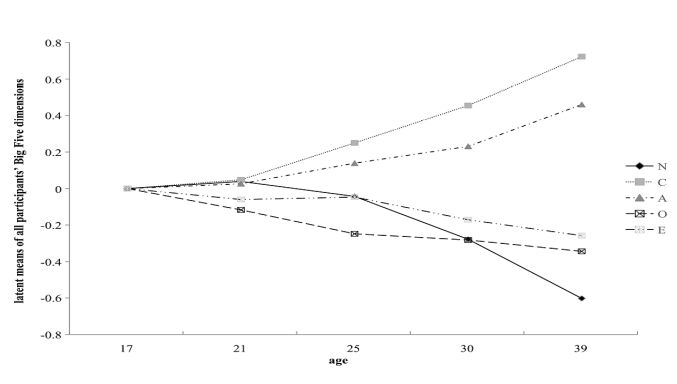
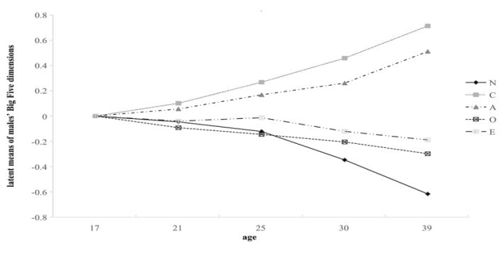
此外,潜均值等值检验结果与先前研究发现相一致(Schmitt, Realo, Voracek, & Allik, 2008; Soto, John, Gosling, & Potter, 2011; Terracciano, Mccrae, Brant, & Costa, 2005):女性神经质与宜人性水平高于男性,且女性神经质水平波动较大;随年龄增长,宜人性和尽责性水平呈上升趋势而神经质水平呈下降趋势;年长男性相较于年轻男性表现出高水平的宜人性和尽责性、低水平的神经质和开放性,但在外倾性水平方面无差异。具体结果如图1、2、3所示。

图1 不同年龄组别的五维度潜均值

图2 男性群体中不同年龄组别的五维度潜均值

图3 女性群体中不同年龄组别的五维度潜均值
聚合效度:Mao等(2018)表明尽责性、外倾性、开放性和宜人性与冲动性呈负相关,而神经质与冲动性呈正相关。Watson和同事(1988)指出高神经质水平的被试更易体验消极情绪,因此神经质与焦虑、抑郁有着密切联系。本研究结果与相关研究(Kadimpati et al., 2015; Kashdan, 2007)结果相一致,冲动性与尽责性呈显著负相关(r = -.646, p < .001),且与神经质呈显著正相关(r = .303, p < .001)。抑郁和焦虑都与神经质呈显著正相关(r = .500, p < .001; r = .566, p < .001),与其他四个人格维度呈显著负相关。具体结果如表2所示。
效标关联效度:Hu等(2010)表明神经质会导致吸烟概率的增加,而Mezquita和他的同事(2010)认为,酒精相关问题与神经质和低尽责性之间存在直接和间接的关联,包括饮酒导致的抑郁,饮酒导致的焦虑,以及酗酒导致的增强动机。Schneider和Preckel(2017)认为尽责性与学业成绩显著相关,尤其是在高等教育领域。我们发现大学生样本结果与之前发现有较高的一致性。如表2所示,吸烟和饮酒都与开放性(r = .202, p < .001; r = .207, p < .001) 呈显著正相关, 和外倾性(r = .104, p > .05; r = .116, p > .05) 呈正相关,但和神经质、尽责性以及宜人性表现出低负相关(r = .086 - .313)。此外,五个人格维度均与学业成绩相关,其中尽责性与学业成绩呈显著正相关(r = .313, p < .001),神经质与学业成绩表现出负相关(r = -.140, p < .01)。

表2 CBF-PI-B与效标的Pearson相关系数
四、结果分析与应用情况
大五人格结构研究深刻影响了关于个体差异研究(Goldberg, 1993),而开发测量特性良好、题量合适的大五人格问卷成为关键。基于CBF-PI-B的15条目的CBF-PI-15具备良好的因子结构、信效度及等值特性,可用于大型调研筛查及相关研究,如果要想获得更准确全面的测评结果应选择CBF-PI或CBF-PI-B。
引用本文:Zhang, X., Wang, M-C, Luo, J., He, L. (under review). The development and psychometrics evaluation of a very shorten version of the Chinese Big five personality inventory. PLoS ONE.
五、主要参考文献
Goldberg, L. R. (1993). The structure of phenotypic personality traits. American Psychologist, 48(1), 26–34.
Hu, S., Brody, C. L., Fisher, C., Gunzerath, L., Nelson, M. L., Sabol, S. Z., Sirota, L. A., … & Hamer, D. H. (2000). Interaction between the serotonin transporter gene and neuroticism in cigarette smoking behavior. Molecular Psychiatry, 5(2), 181–188.
John, O. P., Naumann, L. P., & Soto, C. J. (2008). Paradigm shift to the integrative Big Five trait taxonomy: History, measurement, and conceptual issues. In O. P. John, R. W. Robins & L. A. Pervin (Eds.), Handbook of personality: Theory and research (3rd ed., pp. 114–158). New York, NY: Guilford.
John, O. P., & Srivastava, S. (1999). The Big Five trait taxonomy: History, measurement, and theoretical perspectives. In L. A. Pervin & O. P. John (Eds.), Handbook of Personality: Theory and Research (2nd ed., pp. 102–138). New York: Guilford Press.
Kadimpati, S., Zale, E. L., Hooten, M. W., Ditre, J. W., & Warner, D. O. (2015). Associations between neuroticism and depression in relation to catastrophizing and pain-related anxiety in chronic pain patients. Plos One, 10(4).
Kashdan, T. B. (2007). Social anxiety spectrum and diminished positive experiences: Teoretical synthesis and meta-analysis. Clinical Psychology Review, 27(3), 348–365.
Mao, T., Pan W., Zhu, Y., Yang, J., Dong, Q., & Zhou, G. (2018). Self-control mediates the relationship between personality trait and impulsivity. Personality and Individual Differences, 129, 70–75.
Mezquita, L., Stewart, S. H., & Ruipérez, M. Á. (2010). Big-five personality domains predict internal drinking motives in young adults. Personality and Individual Differences, 49(3), 240–245.
Schmitt, D. P., Realo, A., Voracek, M., & Allik, J. (2008). Why can't a man be more like a woman? Sex differences in big five personality traits across 55 cultures. Journal of Personality and Social Psychology, 94(1), 168–182.
Schneider, M., & Preckel, F. (2017). Variables associated with achievement in higher education: a systematic review of meta-analyses. Psychological Bulletin, 143(6), 565–600.
Soto, C. J., John, O. P., Gosling, S. D., & Potter, J. (2011). Age differences in personality traits from 10 to 65: big five domains and facets in a large cross-sectional sample. Journal of Personality and Social Psychology, 100(2), 330–348.
Terracciano, A., Mccrae, R. R., Brant, L. J., Costa, P. T. J. (2005). Hierarchical linear modeling analyses of the NEO-PI-R scales in the Baltimore longitudinal study of aging. Psychology and Aging, 20(3), 493–506.
Watson, D., Clark, L. A., & Tellegen, A. (1988). Development and validation of brief measures of positive and negative affect: Te PANAS scales. Journal of Personality and Social Psychology, 54(6), 1063–1070.
樊洁, 朱熊兆, 唐利立, 王瑜萍, 李玲艳, & 杨玉玲等. (2013). 中国大五人格问卷简式版在乳腺癌患者中的应用. 中国临床心理学杂志, 21(5), 783-785.
罗杰, & 戴晓阳. (2011). “大五”人格测验在我国使用情况的元分析. 中国临床心理学杂志, 19(6), 740-742.王孟成, 戴晓阳, & 姚树桥. (2010a). 中国大五人格问卷的初步编制Ⅰ:理论框架与信度分析. 中国临床心理学杂志,18(5), 545-548. doi:10.16128/j.cnki.1005-3611.2010.05.012
王孟成, 戴晓阳, & 姚树桥. (2010b). 中国大五人格问卷的初步编制Ⅱ:效度分析. 中国临床心理学杂志, 18(6), 687-690.
王孟成, 戴晓阳, & 姚树桥. (2011). 中国大五人格问卷的初步编制Ⅲ:简式版的制定及信效度检验. 中国临床心理学杂志, 19(4), 454-457.
夏结, 吴大兴, 钟雪, & 聂雪晴. (2013). 中国大五人格问卷-简版在护士群体应用中的信效度. 中国健康心理学杂志, 21(11), 1684-1687.
CBF-PI-15
指导语:下面是一些描述人们性格特点的句子,请根据每个句子与您的性格相符程度在相应的数字上画○,其中“1”=“完全不符合”,“2”=“大部分不符合”,“3”=“有点不符合”,“4”=“有点符合”,“5”=“大部分符合”,“6”=“完全符合”。

原文链接:
中国大五人格问卷简式版(CBF–PI–B):https://mp.weixin.qq.com/s/eTLsp8O9VK7y1x26e7_oNQ
中国大五人格问卷极简版(CBF-PI-15):https://mp.weixin.qq.com/s/bcLSQBV0ZcaUDrUC6_T0jA
相关文章:中国大五人格问卷的初步编制Ⅰ_理论框架与信度分析_王孟成.pdf
中国大五人格问卷的初步编制Ⅱ_效度分析_王孟成.pdf
中国大五人格问卷的初步编制Ⅲ_简式版的制定及信效度检验_王孟成.pdf
编辑| 人格与社会课题组黄传斌
